The gear ratio is the relationship between the number of teeth on two gears that are meshed or two sprockets connected with a common roller chain, or the circumferences of two pulleys connected with a drive belt.
General description[]
In the picture to the right, the smaller gear (known as the pinion) has 13 teeth, while the second, larger gear (known as the idler gear) has 21 teeth. The gear ratio is therefore 21/13, 1.62/1, or 1.62:1.
The ratio means that the pinion gear must make 1.62 revolutions to turn the idler gear 1 revolution. It also means that for every one revolution of the pinion, the idler gear has made 1/1.62, or 0.62, revolutions. In practical terms, the idler gear turns more slowly.
Suppose the largest gear in the picture has 42 teeth, the gear ratio between the second and third gear is thus 21/42, or 1/2, and for every revolution of the smallest gear, the largest gear turns 0.62/2, or 0.31 revolution, a total reduction of about 1:3.23.
Since the intermediate (idler) gear contacts directly both the smaller and the larger gear it can be removed from the calculation, also giving a ratio of 42/13 = 3.23.
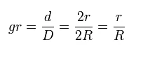
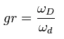
Since the number of teeth is also proportional to the circumference of the gear wheel (the bigger the wheel the more teeth it has) the gear ratio can also be expressed as the relationship between the circumferences of both wheels (where d is the diameter of the smaller wheel and D is the diameter of the larger wheel):
Since the diameter is equal to twice the radius;

as well.

and so

In other words, the gear ratio is proportional to ratio of the gear diameters and inversely proportional to the ratio of gear speeds.
Belts can have teeth in them also and be coupled to gear-like pulleys. Special gears called sprockets can be coupled together with chains, as on bicycles and some motorcycles. Again, exact accounting of teeth and revolutions can be applied with these machines.
A belt with teeth, called the timing belt, is used in some internal combustion engines to exactly synchronize the movement of the camshaft with that of the crankshaft, so that the valves open and close at the top of each cylinder at exactly the right time relative to the movement of each cylinder. From the time the car is driven off the lot, to the time the belt needs replacing thousands of kilometers later, it synchronizes the two shafts exactly. A chain, called a timing chain, is used on some automobiles for this purpose, while in others, the camshaft and crankshaft are coupled directly together through meshed gears. But whichever form of drive is employed, on four-stroke engines the crankshaft/camshaft gear ratio is always 2:1, which means that for every two revolutions of the crankshaft the camshaft will rotate through one revolution.(it is the case because in case of 4 stroke engines the valve cycle is repeated after every two rotations of the flywheel.)
Automobile drivetrains generally have two or more areas where gearing is used: one in the transmission, which contains a number of different sets of gearing that can be changed to allow a wide range of vehicle speeds, and another at the differential, which contains one additional set of gearing that provides further mechanical advantage at the wheels. These components might be separate and connected by a driveshaft, or they might be combined into one unit called a transaxle.
A 2004 Chevrolet Corvette C5 Z06 with a six-speed manual transmission has the following gear ratios in the transmission:
| Gear | Ratio |
|---|---|
| 1st gear | 2.97:1 |
| 2nd gear | 2.07:1 |
| 3rd gear | 1.43:1 |
| 4th gear | 1.00:1 |
| 5th gear | 0.84:1 |
| 6th gear | 0.56:1 |
| reverse | 3.28:1 |
In 1st gear, the engine makes 2.97 revolutions for every revolution of the transmission’s output. In 4th gear, the gear ratio of 1:1 means that the engine and the transmission’s output are moving at the same speed. 5th and 6th gears are known as overdrive gears, in which the output of the transmission is revolving faster than the engine.
The Corvette above has a differential ratio of 3.42:1. The ratio means that for every 3.42 revolutions of the transmission’s output, the wheels make one revolution. The differential ratio multiplies with the transmission ratio, so in 1st gear, the engine makes 10.16 revolutions for every revolution of the wheels.
The car’s tires can almost be thought of as a third type of gearing. The example Corvette Z06 is equipped with 295/35-18 tires, which have a circumference of 82.1 inches. This means that for every complete revolution of the wheel, the car travels 82.1 inches. If the Corvette had larger tires, it would travel farther with each revolution of the wheel, which would be like a higher gear. If the car had smaller tires, it would be like a lower gear.
With the gear ratios of the transmission and differential, and the size of the tires, it becomes possible to calculate the speed of the car for a particular gear at a particular engine RPM.
For example, it is possible to determine the distance the car will travel for one revolution of the engine by dividing the circumference of the tire by the combined gear ratio of the transmission and differential.
It is possible to determine a car’s speed from the engine speed by multiplying the circumference of the tire by the engine speed and dividing by the combined gear ratio.
| Gear | Inches per engine revolution | Speed per 1000 RPM |
|---|---|---|
| 1st gear | 8.1 inches | 7.7 mph / 11.3 kmh |
| 2nd gear | 11.6 inches | 11.0 mph / 17.7 kmh |
| 3rd gear | 16.8 inches | 15.9 mph / 24.1 kmh |
| 4th gear | 24.0 inches | 22.7 mph / 35.4 kmh |
| 5th gear | 28.6 inches | 27.1 mph / 43.4 kmh |
| 6th gear | 42.9 inches | 40.6 mph / 64.3 kmh |
Wide-ratio vs. close-ratio transmission[]
A close-ratio transmission is a transmission in which there is a relatively little difference between the gear ratios of the gears. For example, a transmission with an engine shaft to drive shaft ratio of 4:1 in first gear and 2:1 in second gear would be considered wide-ratio when compared to another transmission with a ratio of 4:1 in first and 3:1 in second. This is because, for the wide-ratio first gear = 4/1 = 4, second gear = 2/1 = 2, so the transmission gear ratio = 4/2 = 2 (or 200%). For the close-ratio first gear = 4/1 = 4, second gear = 3/1 = 3 so the transmission gear ratio = 4/3 = 1.33 (or 133%), because 133% is less than 200%, the transmission with the 133% ratio between gears is considered close-ratio. However, not all transmissions start out with the same ratio in 1st gear or end with the same ratio in 5th gear, which makes comparing wide vs. close transmission more difficult.
Close-ratio transmissions are generally offered in sports cars, in which the engine is tuned for maximum power in a narrow range of operating speeds and the driver can be expected to enjoy shifting often to keep the engine in its power band.
Factory 4-speed or 5-speed transmission ratios are good compromises for mixed street and moderate performance use, and are "staged" or "progressive", in that the engine speed loss on shifting from 1st to 2nd is higher than the loss on shifting from 2nd to 3rd and so on. The purpose is to keep the engine in its torque range at higher vehicle speed, where wind resistance requires more power for acceleration. Wider gaps between ratios will allow a "stronger" (higher numerically, e.g. 2.90:1 instead of 2.50:1) 1st gear for better manners in traffic, but increase the RPM lost on shifting. Narrowing the gaps will increase acceleration at speed, and potentially improve top speed under certain conditions, but acceleration from stopped and operation in traffic will suffer.
The 1st gear ratio for most 4-speed transmissions is about 2.50:1, and 4th is almost always 1.00:1. The ratios of 2nd and 3rd are placed in between these two, and are discretionary to best serve the weight, intended use, speed, engine tune, and other features of the vehicle.
"Range" is the torque multiplication difference between 1st and 4th gears; wider-ratio gear-sets have more, typically between 2.8 and 3.2. This is the single most important determinant of low-speed acceleration from stopped.
"Progression" is the next factor. This is the reduction or decay in the percentage drop in engine speed in the next gear (e.g. after shifting from 1st to 2nd). Most transmissions have some degree of progression in that the RPM drop on the 1-2 shift is larger than the RPM drop on the 2-3 shift, which is in turn larger than the RPM drop on the 3-4 shift. The progression may not be linear (continuously reduced) or done in proportionate stages for various reasons, including a special need for a gear to reach a specific speed or RPM for passing, racing and so on, or simply economic necessity that the parts were available.
The two factors are not mutually exclusive, but each limits the number of options for the other. A wide range, which gives a strong torque multiplication in 1st gear for excellent manners in low-speed traffic (especially with a smaller motor, heavy chassis or numerically low axle ratio such as 2.50) mean that the progression percentages must all be high. The amount of engine speed (and therefore power) that must be lost on each up-shift is higher than would be the case in a transmission with less range (but less power in 1st gear). A numerically low 1st gear (2.00, &c.) reduces available torque in 1st gear, but allows more choices of progression.
There is no choice of ratios that gives the "best" performance at all speeds, nor is there a choice of final drive (axle) ratio that gives the "best" performance at all speeds. It simply does not exist, all ratios are compromises, and not necessarily better than the original ratios for most use.
The advantage to a close ratio gear-set lies in the fact that the RPM loss at very high speed is reduced, allowing extra power to accelerate above 100 mph. However, of necessity the torque multiplier in the lower gears is reduced by the same proportion, and performance at low speeds is much worse. Even for road racing, the closest possible ratio is not always the best choice since many races begin with a grid start (favoring slightly wider ratios with high progression, where 1st gear acceleration is very important) and some with a flying start (favoring close ratios, where 1st gear acceleration is less important).
In general, engines with smaller displacement, very long duration cams, ported heads, large carburetors and so on don’t pull well from low rpm, and when the 3-4 shift will benefit more from close ratios in the upper gears, and even more so as the maximum speed at a specific course increases. If the shift takes place at a speed where air resistance is high (70+ MPH), closer ratios are better. If your engine has been specifically designed for a tuned RPM torque peak (or if that is how the engine behaves), the transmission ratios must be chosen to ensure that after each shift during a lap the engine speed recovers to a point above this peak at that specific track. From the negative viewpoint, the ratios must be arranged to avoid dropping the engine into a "hole" on an up shift, where power falls off disproportionately.
If the widest ratio change gives a 25% loss, the shift RPM is 7,000 RPM, and there is a torque increase at 5,000 RPM you’re safe: 7,000 - 25% = 5,250, the engine will be in this desirable range on acceleration.
If the widest ratio change is 30%, shift at 7,000, and torque at 5,500: 7,000 - 30% = 4,900, far below the power range and the acceleration (and perhaps the jetting) will be weak until you reach 5,500. You will definitely benefit from a closer gear set, or at least re-arranging the progression to reduce the 30% drop to a better number. Depending on the bike and the track, adding to the drop in the previous gear pair (i.e., problem with the 2-3 shift: add some drop to the 1-2 not the 3-4) is the 1st choice but results will vary.
Individual race tracks with combination of maximum speed and corner speed will require different intermediate (2nd & 3rd) gears to allow downshifting for a specific gear to enter a turn, or to use only one gear during a turn to avoid traction loss. The key to analysis here is whether your favorite track has a spot where the engine is "flat" after shifting at an awkward moment in a turn, but better as it speeds up. Closing the ratio between these 2 gears will help, but of course it moves the greater RPM drop somewhere else.
Idler gear[]
In a sequence of gears chained together, the ratio depends only on the number of teeth on the first and last gear. The intermediate gears, regardless of their size, do not alter the overall gear ratio of the chain. However, the addition of each intermediate gear reverses the direction of rotation of the final gear.
An intermediate gear which does not drive a shaft to perform any work is called an idler gear. Sometimes, a single idler gear is used to reverse the direction, in which case it may be referred to as a reverse idler. For instance, the typical automobile manual transmission engages reverse gear by means of inserting a reverse idler between two gears.
Idler gears can also transmit rotation among distant shafts in situations where it would be impractical to simply make the distant gears larger to bring them together. Not only do larger gears occupy more space, but the mass and rotational inertia (moment of inertia) of a gear is quadratic in the length of its radius. Instead of idler gears, a toothed belt or chain can be used to transmit torque over distance.
External links[]
- Gear ratio at How Stuff Works
- "GearCalc" - a program that calculates theoretical maximum speeds in each gear, and speed per 1000 RPM
- "PerfectShifting" - an applet that can calculate the theoretical speed at a certain rpm/gear